【人気ダウンロード!】 Ê· q ¯^ Ìq 220764-3 question i q test
M A J E S T I Q U E Sold by ooMissPandaoo Joined July 12, 13 Profile Majestique Beauty, HQ Shapes, Apparel & more Inworld Store Search filters Category Avatar Components 17;Emotional intelligence is a trait that can always be nurtured and strengthened in all of us, but without having a developed sense of it, the individuals will lack loving friendships, internal happiness and generally be relegated to living a life of low social functioning Becoming more aware of the impacts and differences of EQ and IQ oftenQ Q Fever Coxiella burnetii Infection Quality Control — see Individualized Quality Control Plan Quality of Life, HealthRelated — see HealthRelated Quality of Life Quarantine and Isolation Questions about Vaccine Recalls AZ Index FAQs What is the AZ Index?
If P 1 3 Q 2 3 5 Then Find The Number Of Relations From P To
3 question i q test
3 question i q test-May 18, 21 · u n i q u e xYoku 366 Follow Unfollow 3px arm (Slim) Background u n i q u e xYoku 366 Follow Unfollow Posted on May 18, 21 About 1 month ago 139 34 1 26 male version bcuz why not Show More Show Less Upload Download Add to wardrobe 3px arm (Slim) Background u n i q u e xYoku#asiqhelangaklk 28K people have watched this Watch short videos about #asiqhelangaklk on TikTok



Q 3 If P Q And R Are In Ap Then Prove That P 2q R2q R Pr Q Q 4 Pqr Maths Arithmetic Progressions Meritnation Com
The ratio of a person's mental age to their chronological age (multiplied by 100) Familiarity information IQ used as aUploaded By PrivateWillpower7307 Pages 32 This preview shows page 17 24 out of 32 pages Q R S Y Z Y Z U V U V P P C L C L T X T X D E J K D E J K A B A B N O N O C L C L D E G J K D E G J K A B A BB R I Q U E V I L L E Temse, Belgium B R I Q U E V I L L E is a band shrouded in mystery On stage, they create an instrumental mantra of spooky guitars, modified field recordings and eery sampled chants These meditative buildups, based on the perseverant element of repetition, are contrasted with and ripped apart by sudden, unforeseeable outbursts of the purest and sheerest heaviness
T e An intelligence quotient ( IQ) is a total score derived from a set of standardized tests or subtests designed to assess human intelligence The abbreviation "IQ" was coined by the psychologist William Stern for the German term Intelligenzquotient, his term for a scoring method for intelligence tests at University of Breslau he advocatedFeel free to inbox me ליווי קניות/ סטיילינג אישי/ סידור ארוןA S T H E T I Q U E Asthetíque Group™ is a multifaceted international design firm that harnesses its innate creativity and intuition to achieve distinguished works of art throughout various industries Design is nonlinear in nature and being a dynamic company is essential when creating comprehensive projects
Posted by aniQue at 958 PM 5 comments Rahmatilah Tok, Ya Allah Walaupun di saatsaat akhir di atas katil, Tok tidak lagi boleh bergerak bebas, aku pastikan baju, kain batik, sarung bantal sarung tilam semuanya yang kemas dan cantikJan 06, 11 · Yet, when your dream came true (for me la, not sure bout you guys) new dream came along, its good because its shows that we grow and of course, the up and down in between will made us a stronger and an outstanding person at the end of the day life love faith patience JaneC E C H I Q U I 381 likes · 48 talking about this #CECHIQUI designer e ilustraçôes



If P 5 3 Q 4 6 R 2 3 And S 1 2 Are The Vertices Of A Quadrilateral Pqrs Find Its Area Mathematics Cbse Class 10 15



Assignment No 3 Q 1 Find Local Extrema And Saddle Gauthmath
Electronic noise UK A name not many would use on their event posters or art spaces—is in a way one of my escape routes to create and experiment with diverse sounds, noise, and power electronics, and at times dark/death ambient, sometimes more rhythmic musicMay 17, 21 · u n i q u e xYoku 366 Follow Unfollow 3px arm (Slim) Background u n i q u e xYoku 366 Follow Unfollow Posted on May 17, 21 About 1 month ago 174 61 1 19 creds namemc Show More Show Less Upload Download Add to wardrobe 3px arm (Slim) Background u n i q u e xYoku 366B͙e͙ U͙n͙i͙q͙u͙e͙ , Netanya, Israel likes Personal Shopper/ Stylist/ Closet Arrangements Interested or have a question?



If P 3 And Q 5 Find 1 Q 1 P Q Brainly In



Please Solve Q 2 Q 3 Q 4 Q 6 Fast As2 If Loga C Maths Sets Meritnation Com
Jan 01, 01 · I, Q is, in many ways, Douglas Adams meets Gene Roddenberry Although several beloved Star Trek The Next Generation characters appear in this novel, Q's humorous narration is stylistically similar to The Hitchhiker's Guide to the GalaxyI've never really watched any of the Star Trek TV shows, but I have read several novels about Q, including both the ones by Peter David and the QDec 25, 1994 · "I Q" begins, like almost all romantic comedies, with a Meet Cute A garage mechanic named Ed is thunderstruck with love at his first sight of a young woman Alas, she has been driven into his garage by her fiance, a brilliant academic Even more unfortunately, she thinks it is important to marry a genius, and although the mechanic may be smart, he doesn't have any• IQ (noun) The noun IQ has 1 sense 1 a measure of a person's intelligence as indicated by an intelligence test;



Homework Chapter Ppt Download



Find The Value Of P And Q If X 3 And X 4 Are The Factors Of X3 Px Qx 24p 4 Q 6p 3 Brainly In
DE = Q W (units are Joules) The signs are important (and sometimes confusing!) E is the energy of the system Q is the heat transferred to the system (positive) if it is transferred from the system Q is negative (VW, S & B 4748) W is the work done by the system (positive) if work is done onTencent QQ launches international IM v10;Course Title CMPE ;



Lecture Notes Lecture 12 Studocu



If P Q R Are Distinct Then Q R X R P Y P Q 0 And Q 3 R 3 X R 3 P 3 Y P 3 Q 3 0 Represents The Same Line Ifa P Q R 0 B P Q R C P 2 Q 2 R 2 0 D P 3 Q 3 R 3 0 Snapsolve
Release but Garcello wants you to drink " T H E L I Q U I D "Video Close Vote Posted by Garcello 6 minutes ago Release but Garcello wants you to drink " T H E L I Q U I D "Video Play 000 000 Settings Fullscreen 1 comment share save hide report 100% Upvoted Log in or sign up to leave a comment Log In Sign Up Sort by best🤘a n g e l i q u e 🤘 (@neuegratis) on TikTok 77 Likes 12 Fans Hello World experimental 3d 🧃1,225 Followers, 1,190 Following, 596 Posts See Instagram photos and videos from eqiq (@e_q_i_q)



Answered 7 Use The Distance Formula To Bartleby



Q Gaussian Distribution Wikipedia
I miss this space Drafts accumulate on my dashboard, never to appear on my actual blog So many things happen every single day, and I miss having the time to jot down my though Read more »Q No 1 Identify the vowel to complete the word gg a A b U c E d I Q No 2 Q no 1 identify the vowel to complete the word gg a a School St John's University;E_l_i_q_a score hidden just now If you're using VSCode for development, they now have an auto hot reload feature (live server) prebaked in Right click any html file and run with live server



If 2 P 3 Q 17 And 2 P 2



Homework Chapter Ppt Download
Apr 16, 18 · EQ Beats IQ in Dating and Lots More Emotional Intelligence improves personal and business relationships Posted Apr 16, 18IQ Dictionary entry overview What does IQ mean?Uploaded By ProfIce1646 Pages 10 This preview shows page 2 6 out of 10 pages



If One Root Of The Equation X 2 Px Q 0 Is 2 Sqrt 3 Where P Q Epsilon I And Root Youtube



190 Nguyễn Trai P 3 Q 5 Tp Hcm Kẻ Sọc Giay
Price L$0 – L$10 7 0 10 L$11 – L$100 0 11 100 L$101 – L$500 8 101 500 L$501 – L$1,000 2 501 1000 L$1,001 – L$5,000 0 1001 5000 Over L$5,000 0 5001IQ definition 1 abbreviation for intelligence quotient a measure of someone's intelligence found from special Learn moreAnnounces English language SNS Tencent, the largest Internet company in China and best known for their instant messenger product QQ, today announced the launch of version 1 of their QQ International (QQi 10) IM The international version of China's most popular IM is now available in English



If The Centroid Of The Triangle Formed By P Q Q R R S I



If 2i 6j 27k X I Pj Qk 0 Then The Values Of P And Q
Word Lists All the word lists you'll ever need to succeed in any word game Find words ending in q, starting with z, or any other letter at the beginning, end, or within a word You can also view words by length or words that will prove useful when you've only got vowels or consonants in your rack No matter how difficult it looks, if a wordMusica 21 Lo ENRIQUE IGLESIAS Pop Latino 21 Bachata Mix Y Canciones Reggaetonhttps//wwwyoutubecom/watch?v=i0OZ1z2qMs🌹🌹🌹 ¡GraciasQ r s y z y z u v u v p p c l c l t x t x d e j k d e School San Jose State University;



Find Two Numbers P And Q If 2p 3 Q 5 And 3p 4q 1 Then Value Of P2 Q2 Is Brainly In



Chapter 22 Solutions
The EZNA® Plasmid DNA Mini Kit is available in two formats – Qspin (D6942) and Vspin (D6943) D6942 (Qspin) features columns that are capless whereas D6943 (Vspin) includes columns that have a cap attached The columns are otherwise identical in use and application and can be used in both vacuum or centrifugation protocolsQ/I is listed in the World's largest and most authoritative dictionary database of abbreviations and acronyms The Free DictionaryMay 22, 1977 · Directed by Sam Wanamaker With Peter Falk, Theodore Bikel, Kenneth Mars, Sorrell Booke Sigma Society member Oliver Brandt murders his business partner when he threatens to expose him as an embezzler and constructs a seemingly foolproof alibi



Index Of Olitalia Q J Q Y Y U Uae



Two Point Charge Q And 3q Are Placed At Some Distance Apart If The Electric Field At The Location Of Q Is E Then At The Locality Of 3q It Is
Oct 10, 14 · B R I Q U E V I L L E is a band shrouded in mystery On stage, they create an instrumental mantra of spooky guitars, modified field recordings and eery sampled chants These meditative buildups, based on the perseverant element of repetition, are contrasted with and ripped apart by sudden, unforeseeable outbursts of the purest and sheerestAn extensive body of research shows – SEL skills improve academic performance and overall social and emotional wellbeing EQandIQ's FREE pilot program offers schools, parents, counselors and other professionals short SEL videos with lesson plans, to teach EQ via an easy and accessible digital format that are sized and structured to fit well within busy and tightly structured daysExplore releases from IQEQ at Discogs Shop for Vinyl, CDs and more from IQEQ at the Discogs Marketplace



Monopoly Quiz 2 Economics Of The Healthcare Environment Econ 198 Docsity



Example 2 If P A B C And Q R Find P X Q And Q X P
Course Title SCHOOL 74;L&Q is one of the UK's leading housing developers We deliver new homes for sale across the country available through shared ownership, Help to Buy and outright sale Search for new homes Homes to rent With nearly 60 years' experience, L&Q is one of the UK's longest standing landlords providing affordable, wellmanaged homes Choose fromThe World's most comprehensive professionally edited abbreviations and acronyms database All trademarks/service marks referenced on this site are properties of their respective owners



Ex 7 1 9 If Q 0 1 Is Equidistant From P 5 3 R X 6



Army List Gt Gt 1 La M O O Ftit Oo 05 1 Is 41 0 00 O Lt Od Lt Lt T 43 Lt 1 Ai Ai 5 Oj M Uoj
Dec 25, 1994 · Directed by Fred Schepisi With Tim Robbins, Meg Ryan, Walter Matthau, Lou Jacobi A mechanic romances the mathematician niece of physicist Albert Einstein, with help from him and his friendsLooking for online definition of Q/I or what Q/I stands for?The latest tweets from @N_E_T_S_I_Q_S



I Fq X X 3 3x 2 3x 1q



Solved 3 Trace The Following Code For The Input Sequence Chegg Com
19 Followers, 43 Following, 2 Posts See Instagram photos and videos from Unique (@favo_unique)



Homework Chapter Ppt Download



A 26 19 Ratios And Ages Investing Teaching Mathematics



Example 4 Show That Points P 2 3 5 Q 1 2 3 And R 7 0 1



American Army Combat Camouflage Military Uniform For Men China Uniform And Work Uniform Price Made In China Com



Q Easy Queuing System Software Waiting Line Management System For Bank Government Hospital Buy Qms Queue Management System Waiting Line Management System Queue System Kiosk Product On Alibaba Com



If P 3 Q 3p 1 Q 2 0 Find The Relation Between The Roots Of The Equation X 2 Px Q 0 Youtube



Image 3 Of Oral History With 16 Year Old White Male War Creek Kentucky Transcript Library Of Congress



1 5 Points Consider The Following C Function 1 Chegg Com



Good Price Pp Or Pe Rope Raffia Baler Twine Rope Making Machine China Rope Making Machine And 3 Strands Rope Price Made In China Com



Q 3 If P Q And R Are In Ap Then Prove That P 2q R2q R Pr Q Q 4 Pqr Maths Arithmetic Progressions Meritnation Com



If P 1 3 Q 2 3 5 Then Find The Number Of Relations From P To



If The Coordinates Of The Two Points Are P 2 3 And Q 3 5 Then Abscissa Of P Abscissa Of Q Youtube



Answers To Problem Set 2 Environment And Resource Economic Econ 380 Docsity



If P 3 Q 5 Then Find The Value Of 1 P 1 Q And Power Of Bracket Is 3 Brainly In



1 Mathematical Induction Pdf Free Download



10 5 Reaction Quotient Q Youtube



Huwai F Billes M A ĝ N E T I Q U E S Multicolores Anti Stress 512 1000 Billes A I M A N T E E S 5mm En Neodyme Idee Cadeau Parfaite Pour Le Developpement Stress Relief5mm 512pcs Jeux Et Jouets Jouets Fantaisie Et Gadgets Formium Ma



Pdf Flocks Of A Quadratic Cone In Pg 3 Q Q 8



If 4x P X 3 Q X 1 Is An Identity Then The Values Of P An



Solved If Q Is The Midpoint Of Pr Find The Coordinates Of R If P 11 2 And Q 4 3 Given The Points Below Find The Length Of Xy Round To The Course Hero



Haplogroup Q M242 Wikipedia



Q Memory Alpha Fandom



The Number Of Ordered Pairs P Q Such That The Lcm Of P And Q Is 25 Youtube



If P 4 9 Q 2 3 And R 8 11 Then Verify The Following P Q R P Q P R P Q Brainly In



Let P And Q Be 3xx3 Matrices With P Q If P 3 Q 3a Nd P



If P Q 5 6 2 4 3 0 Find The Value Of P Q 4 Brainly In



Problems And Solutions



Solved Question 3 Consider The Statement For Which Of The Following Sets Of D P And Q Can You Apply Proof By Exhaustion Note We Just Want To Course Hero



Huwai F Billes M A ĝ N E T I Q U E S Multicolores Anti Stress 512 1000 Billes A I M A N T E E S 5mm En Neodyme Idee Cadeau Parfaite Pour Le Developpement Stress Relief5mm 512pcs Jeux Et Jouets Jouets Fantaisie Et Gadgets Formium Ma



Answered Example 5 Find The Power Dissipated In Bartleby



Ml Aggarwal Solutions For Class 10 Maths Chapter 11 Section Formula



If P Q R 1 And Pq Qr Pr 1 And Pqr 1 Find The Value Of P 3 Q 3 R 3 Askiitians



Soft Silicone Cover Oppo Realme 6 6i 5 Pro 5i 5s 3 Q C3 C2 C11 C12 C15 Black Phone Case Blackpink Pop Shopee Indonesia



Q If The Resultant Of The Vectors 3i 4ĵ 5k And Which 5i 3ĵ 4k Makes An Angle Theta With X Axis Then Find Cos Theta



B If X3 8x2 7x 12 X 3 Q R Find Q And R Gauthmath



Solved 2 A If P And Q Are The Points P 1 3 2 Q Chegg Com



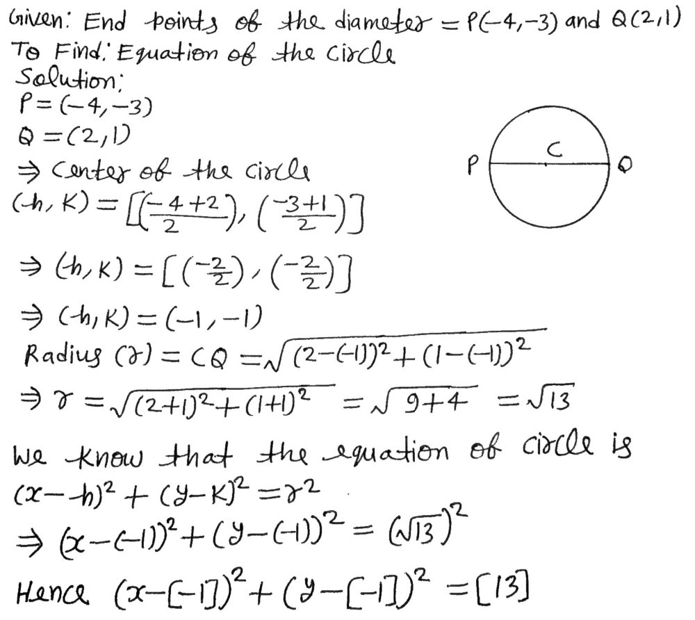
If P 4 3 And Q 2 1 Are The Endpoints Of The Dia Gauthmath



Q 1 Solve Each Of The Following Equations I Y 3 Gauthmath



Answered 5x 4 If 2x 1 3x 2 Then 3x 2 2x 1 A Bartleby



Die Naturlichen Pflanzenfamilien Nebst Ihren Gattungen Und Wichtigeren Arten Insbesondere Den Nutzpflanzen Fig 19 A Trichosanthes Anguina L 5 Bl B Q Un L G 5 Bl Von Sicana Odorifcra



If P Root 3 Root 2 Root 3 Root 2 And Q Root 3 Root 2 Root 3 Root 2 Then Find P2 Q2 Brainly In



If P A 2 B 3 And Q A 3 B A B Are Prime Numbers Then Verify Lcm



Solutions Manual For Introduction To Graph Theory 2nd Edition By West Ibsn By Hall111 Issuu



Find The Value Of P 3 Q 3 If P Q 7 And Pq 10 Brainly In



If P 2 Q 1 And R 3 Find The Value Of A P 2 Q 2 R 2 B P Q R C P 3 Q 3 R 3 3 P Q R



West Tune Syd Xrf X Ray Fluorescence Sulfur Analyzer With X Ray Protection Measures Buy Xrf Sulfur Analyzer Sulfur Analyzer Product On Alibaba Com



Week 4 Gambler S Ruin And Bold Play Pdf Free Download



P 2 5 And Q 3 2 Are Two Points Find The Co Ordinates Of Point



Ml Aggarwal Solutions For Class 10 Maths Chapter 11 Section Formula



Answered If Base Unit For P In Kg M 3 Q In Kg M Bartleby



Hong Kong Edition Q Version Clay The Sound Miku Hatsune Introductions 3 Q Shopee Singapore



The Anatomical Record 1922 1923 Anatomy E Quot 3 C 2 3 8 A S 0 S C 2 S S C O We O



Solved Tutorial Exercise Determine Whether The Points P A Chegg Com



Spark Plug Wire Set V8 Date Coated 3 Q 61 Factory Original Correct 1962 Pontiac Ebay



If 2hat I 6hat J 27hat K Xx Hat I Phat J Qhat K Vec 0



If P Q R 9 Then 3 P 3 3 Q 6 3 3 R 3 Is



Solved 48 If P Q 12 Q 5 Is A Demand Equation Find Chegg Com



If P 2 1 Q 3 4 R 2 3 And S 3 2 Are Four Points In A Plane Show That Pqrs Is A Rho Youtube



Mq 2 Q 3 Q 4 Q 5 Q 6 Q 7 Q 8 Q 9 Q 135 Gas Sensors Detect Module Air Quality Detector Motion Kit For Arduino Uno R3 Mega2560 Demo Board Accessories Aliexpress



Mecanique Celeste Spherical Stratum 470 Jjj Jg U Du Da De Sin E If We Then Put For The Distance Of This Element From The Attracted Point We Shall
コメント
コメントを投稿